Climate Etc.
Skip to content
About
Blog Rules
Screen Shot 2020-08-25 at 2.36.15 PM
Published
August 25, 2020
at
518 × 450
in
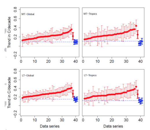
New confirmation that climate models overstate atmospheric warming
← Previous
Next →
Bookmark the
permalink
.
Leave a Reply
Cancel reply